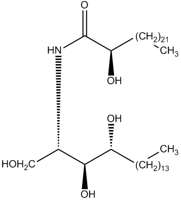
(2S,3S,4R,2'R)-2-[(2R)-2-Hydroxytetracosanoylamino]-1,3,4-octacosanetriol
分子式
C42H85NO5
精密質量
683.6428
CAS
IUPAC名
備考
This compound was isolated and identified from
Trichoderma koningii
in INM (
original paper
).