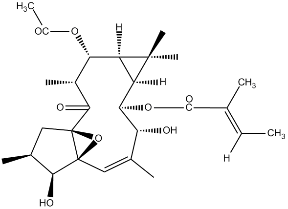
12-O-Acetyl-8-O-tigloylingol
分子式
C27H38O8
精密質量
490.2567
CAS
51906-13-9
IUPAC名
備考
This compound was isolated and identified from
Euphorbia antiquorum
in INM (
original paper
).