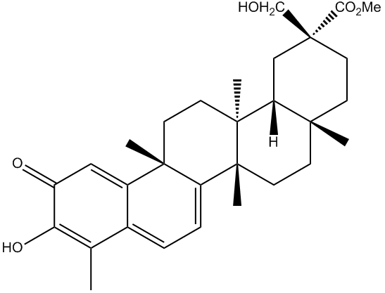
![]() |
30-Hydroxypristimerin |
| 分子式 | C30H40O5 |
| 精密質量 | 480.2876 |
| CAS | 178859-98-8 |
| IUPAC名 | (9β,13α,14β,20α)- (9CI) 3,30-dihydroxy-9,13-dimethyl-2-oxo-24,25,26-Trinoroleana-1(10),3,5,7-tetraen-29-oic acid methyl ester |
| 備考 | This compound was isolated and identified from Salacia reticulata var. β-diandra in INM (original paper). |