![]() |
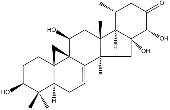
Foetidinol |
| 分子式 | C27H40O5 |
| 精密質量 | 444.2875744 |
| CAS | 158204-38-7 |
| IUPAC名 | (2S,4aR,5aS,6S,7aR,7bR,8R,11R,11aR,12aR,14aR)-1,2,3,4,6,7,7a,7b,8,9,11,11a,12,12a,14,14a-hexadecahydro-2,6,11,11a-tetrahydroxy-1,1,7a,8,12a-pentamethyl-5H,10H-Cycloprop[e]indeno[2,1-a]phenanthren-10-one |
| 備考 | This compound was isolated and identified from Cimicifuga foetida in INM (original paper 1, original paper 2). |