![]() |
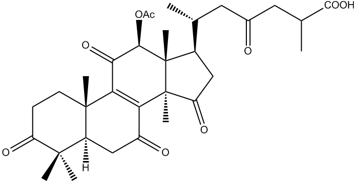
Ganoderic Acid F |
| 分子式 | C32H42O9 |
| 精密質量 | 570.2828829 |
| CAS | 98665-15-7 |
| IUPAC名 | (12β)-12-(acetyloxy)-3,7,11,15,23-pentaoxo-Lanost-8-en-26-oic acid |
| 備考 | This compound was isolated and identified from Ganoderma lucidum in INM (original paper 1, original paper 2). |