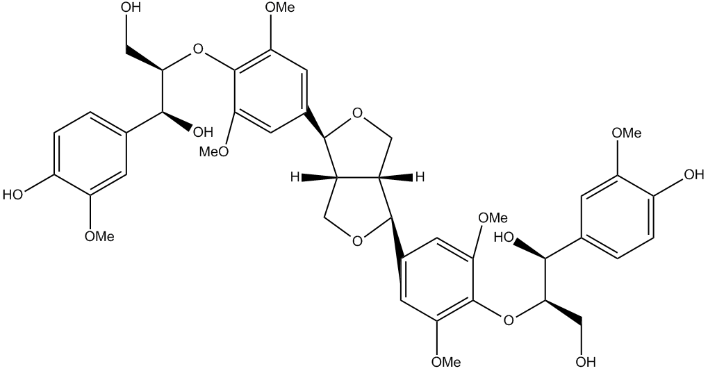
![]() |
Hediotisol-A |
| 分子式 | C42H50O16 |
| 精密質量 | 810.3099 |
| CAS | 1292294-28-0 |
| IUPAC名 | (1R,1'R,2S,2'S)-2,2'-[[(1R,3aS,4R,6aS)-tetrahydro-1H,3H-furo[3,4-c]furan-1,4-diyl]bis[(2,6-dimethoxy-4,1-phenylene)oxy]]bis[1-(4-hydroxy-3-methoxyphenyl)-1,3-Propanediol |
| 備考 | This compound was isolated and identified from Hedyotis lawsoniae in INM (original paper). |