![]() |
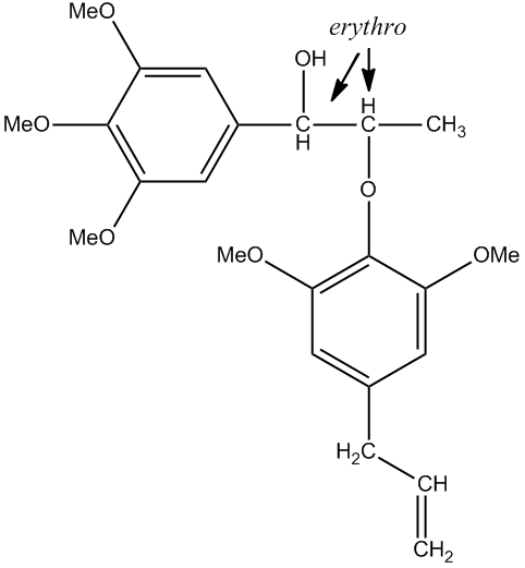
erythro-2-(4-Allyl-2,6-dimethoxyphenoxy)-1-(3-hydroxy-4,5-dimethoxyphenyl)propan-1-ol |
| 分子式 | C22H28O7 |
| 精密質量 | 404.1835 |
| CAS | 108907-57-9 |
| IUPAC名 | (R*,S*)-α-[1-[2,6-dimethoxy-4-(2-propenyl)phenoxy]ethyl]-3-hydroxy-4,5-dimethoxy-Benzenemethanol (9CI) |
| 備考 | This compound was isolated and identified from Myristica frragrans in INM (original paper). |